PID控制方法是經典控制算法中的典型代表,與模糊控制結合,能夠更好的發揮其優勢。PD控制是**早發展起來的控制策略之一,具有魯棒性好、可靠性高和結構簡單的特點,適用面很廣。PID控制器及其改進型是在工業過程控制中**常見的控制器。據統計,工業控制的控制器中Pro類占有90%以上。然而實際被控對象或過程往往難以建立精確的數學模型,具有非線性、時變不確定性,使用常規的PD控制算法不能得到理想的控制效果。智能控制理論的發展和計算機技術為解決復雜動態不確定系統的控制提供了新途徑,也為PID的改進開辟了新空間。
IP功控制的發展
Pro的發展過程,實質上是參數自適應和參數整定方法的研究過程。[,91PID參數整定方法shou先由Ziegler和Nichols提出,之后許多技術被用于PID控制器的手動和自動整定。PD參數整定方法有多種劃分方式。按發展階段,劃分為常規PID參數整定方法和智能PD參數整定方法;按控制量形式的組合,劃分為非線性PID參數整定方法和線性PID參數整定方法,前者用于由非線性跟蹤微分器和非線性組合方式生成的非線性PID控制器,后者用于經典PID調節器;按被控對象的多少`,劃分為多變量Pro參數整定方法和單變量PD參數整定方法,前者是**近研究的難點及熱點,后者囊括了現有的大多數整定方法。
智能PD參數整定方法包括基于規則的自整定方法和基于模型的自整定方法?;谀P偷淖哉ǚ椒ㄊ峭ㄟ^頻率響應實驗、參數估計及暫態響應實驗來獲取過程模型。基于規則的自整定方法的整定是基于類似有經驗操作者手動整定的規則,不用獲得過程實驗模型。與基于模型的自整定方法一樣,基于規則的自整定方法使用負載干擾、暫態響應或設定值改變等信息,對被控過程的特性觀測。若被控量與設定值不符,則控制器參數進行基于規則整定。一般通過對響應特性進行量化,來獲得一個基于規則的自整定過程。通常使用的量是描述控制回路響應速度的時間常數和振蕩頻率,以及用來描述控制系統穩定性的超調量和衰減比。獲得決定不同控制器參數的相應規則應該增加或減少相對比較容易,但確定增減的量困難比較大。因此,連續自適應控制一般使用基于規則的整定方法。設定值變化的控制通常使用基于模型的整定方法,而在處理負載干擾和處理設定值變化的對象時基于規則的整定方法采用的處理方式相同。
從目前PD參數整定方法的研究和應用現狀來看,今后的發展過程中研究和實踐的重點和發展方向主要體現在以下幾個方面:
(l)對于單輸入單輸出被控對象,需要進一步研究PID參數整定方法,針對不穩定被控過程或對象存在較大干擾的情況,增強在初始化和魯棒性等方面的性能,盡量使用的操作簡單且過程信息少,就可以很好的完成整定。
(2)對于多輸入多輸出被控對象,需要對多變量PD參數整定方法研究,針對多變量過程的顯著藕合關系,使分散繼電反饋方法進一步完善,使用到的先驗信息量盡可能減少,易于在線整定。
(3)有待進一步研究智能PD控制方法和應用,將增益計劃設定和自適應、自整定二者有機結合,使其增加自動診斷功能;對原有工控制器設計思想及整定方法進行改進,結合**經驗知識、直覺推理邏輯等**系統思想和方法;為進一步提高控制系統性能,將PD控制、模糊控制和預測控制交叉應用。以上都是智能控制發展很有前途的*域。
ZP功控制的原理
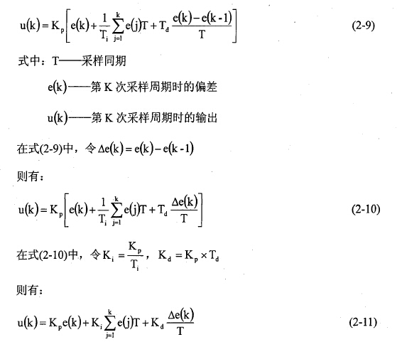
PD控制器是將偏差的比例P、積分I、微分D線性并聯組合的控制器[20]。
其數學模型可以用下式表示:

其中:e(t)—控制器的輸入,是被控對象輸出量和設定目標量的偏差信號
Ti—控制器的積分時間
KP—控制器的比例系數
Td—控制器的微分時間
u(t)—控制器的輸出
式(2一8)表明比例、積分、微分三個校正環節構成了PID控制器的數學模型。
(l)t匕例環節。
從數學表達式可知,積分環節的調節作用與偏差的積分成正比。不管存在偏差的大小,控制作用都會隨時間的增加而不斷增大。只有當偏差e(t)為o時,積分常數才為O,這時該部分不具有控制作用。可見,積分環節的作用是將系統的穩態誤差消除。積分環節的作用受積分時間工的影響很大。當工較小時,積分有較強的作用,則系統過渡過程中有可能產生的超調較大,但只需較短的時間就可消除偏差;當工較大時,積分有較弱的作用,則系統過渡過程中不易產生超調,但是需要較長的時間消除偏差。因此,調節過程的初期,積分應當弱一些,甚**可以取零,之后應增強積分作用,有利于消除穩態誤差。
(3)微分環節
從數學表達式可知`,微分環節的調節作用與被調量的變化率成正比。微分時間幾對微分環節的作用影響很大。幾越小,則抑制e(t)變化的作用越弱;幾越大,則抑制e(t)變化的作用越強。可見,微分環節很大程度上影響系統的穩定。
但幾過小,調節過程制動落后,導致增大超調;幾過大,調節過程制動超前,致使調節時間過長。所以在調節過程前期,應加大微分的作用;臨近穩態時,減小微分的作用,加快響應速度。
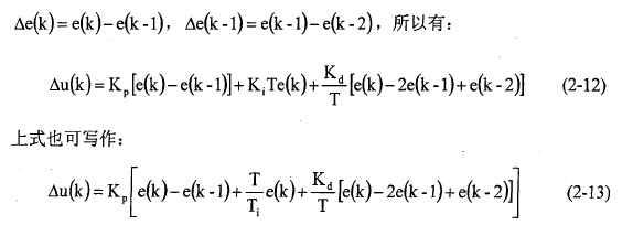
如果控制系統的硬件設計以微處理器為核心,那么該控制系統就是時間離散的控制系統,它以采樣頻率對輸入和輸出量進行實時采樣,所以PID控制器采用差分方程表示: